你一定要知道未来很多事,躲是躲不掉的,怕是怕不完的,你只有一股正气来保护自己。——曾仕强
正气存内,邪不可干。——《黄帝内经》
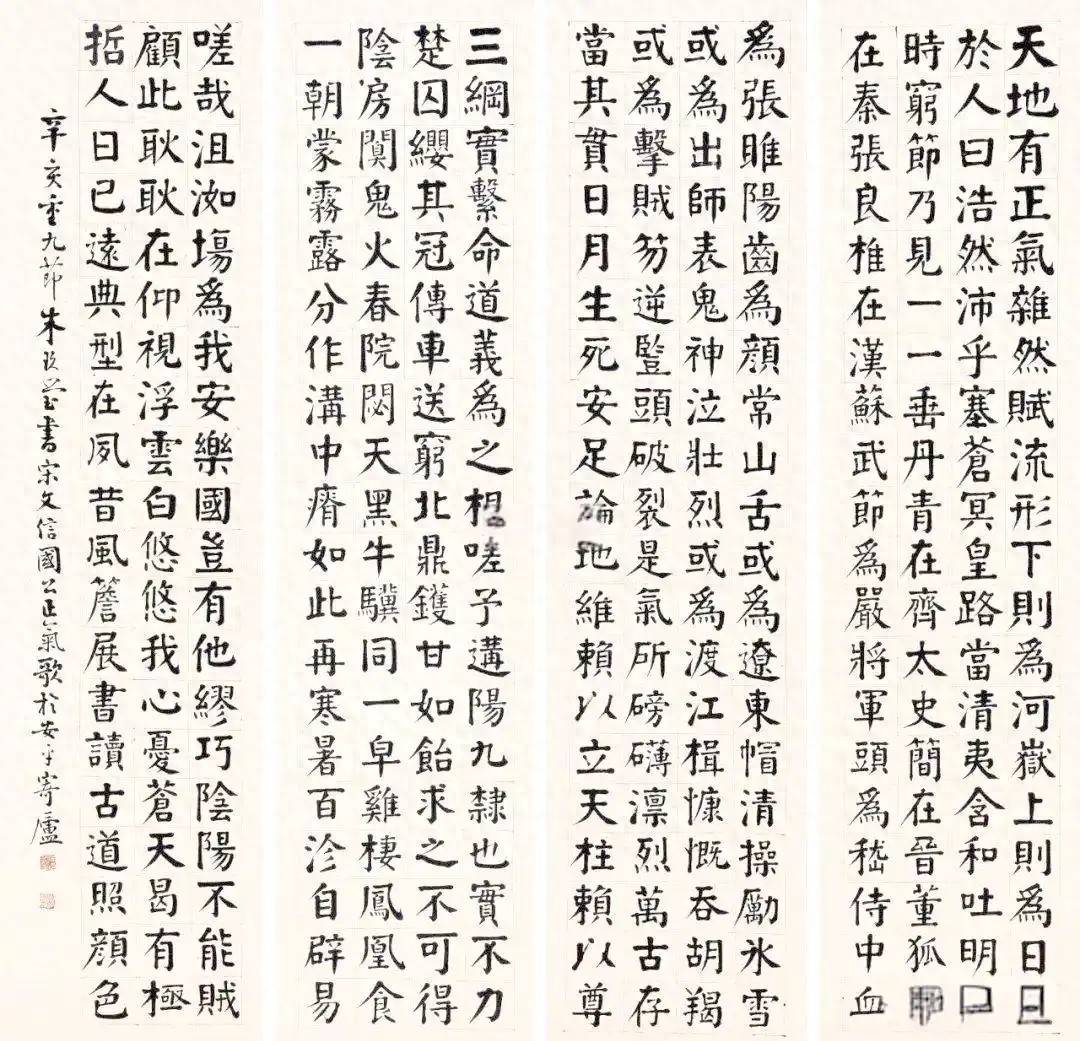
曾有个网友问:中国有什么类似日本武士道这样方便演绎输出的精神?
高赞回答:在齐太史简,在晋董狐笔; 在秦张良椎,在汉苏武节;为严将军头,为嵇侍中血,为张睢阳齿,为颜常山舌; 或为辽东帽,清操厉冰雪;或为出师表,鬼神泣壮烈。或为渡江楫,慷慨吞胡羯,或为击贼笏,逆竖头破裂。是气所磅礴,凛然万古存。当其贯日月,生死安足论! 地维赖以立,天柱赖以尊。三纲实系命,道义为之根。

自隋唐开创科举制度以来,中国历史上共出过600多位状元,宋朝共出过118位状元,而最出名的,也莫过于文天祥。
文天祥(1236-1283)字履善,自号文山,南宋末期庐陵(今江西吉安县)人。19岁时获庐陵乡校考试第一名,宝祐四年(1256年)二十岁考取进士,在集英殿答对论策,宋理宗亲自选拔他为第一名,官至右丞相兼枢密使。
1275年,元军向南进攻宋朝,文天祥卖掉家产,征兵组织义军拱卫南宋都城临安,兵败后仍都督各路军马,派人赴各地募兵筹饷继续抗元。宋朝重文轻武,文天祥官至丞相又掌管军权,为第一人。
直到1278年被元军俘虏,张弘范(辅佐元军统帅伯颜,灭亡南宋的主要指挥者)对文天祥说:“现在宋朝灭亡,丞相已经尽到最后一片忠心,您只要回心转意,归顺我们大元皇上,还能保持您丞相的地位。”
文天祥怒目而视:“国亡不能救,作为臣子,死有余罪,怎敢怀有二心苟且偷生呢。”而后被押送元大都,路上绝食八日,不死。
文天祥在狱中又羁押三年,受尽折磨,元军甚至拿文天祥妻子,女儿威胁,他始终没有屈服。
而后忽必烈亲自劝降,文天祥见面不肯下跪,只作揖,元世祖问:"你有什么愿望?"文天祥回答说:“天祥深受宋朝恩德,身为宰相,哪能侍奉二姓,愿赐我一死就满足了。”
忽必烈见劝降无望,第二天下令处死文天祥。1283年1月9日,北京菜市口万人围观,文天祥戴着镣铐,神色从容,来到刑场。
他问旁边百姓,哪一面是南方,百姓指给他。文天祥朝着正南方向拜了几拜,端端正正坐了下来,对监斩官说:“我的事结束了。”人生自古谁无死,留取丹心照汗青。
其妻欧阳氏收尸时,于衣带中发现绝笔:“孔曰成仁,孟曰取义;惟其义尽,所以仁至。读圣贤书,所学何事?而今而后,庶几无愧!”

在上下五千年的中华文明史上,我们的祖先一直倡导“养浩然正气”,做顶天立地的“大丈夫”,“富贵不能淫,贫贱不能移,威武不能屈”;“三军可夺帅也,匹夫不可夺志也”;“一身正气为人师,两袖清风能生威”;“不要人夸好颜色,只留正气满乾坤”。这种浩然正气正是中华民族五千年生生不息巍然屹立于世界东方的重要源泉。

2400多年前的孟子对此有过精辟论述。有人问孟子:“先生,您擅长什么?”孟子回答说:“我善养浩然之气。”那么,什么是浩然之气?孟子说:“其为气也,至大至刚,以直养而无害,则塞于天地之间。其为气也,配义与道。无是,馁也。是集义所生者,非义袭而取之也。”
意思是说,这浩然之气啊,最正大光明,最刚劲有力,用正直去培养而不加以破坏,就会充塞天地之间。浩然之气,是与道义相匹配的。如果失去道义,这气也会随之消失。浩然之气必须依赖长期的循道义而行才能培育而成,绝非一时的偶尔行义可成功。养成它不易,破坏它却很简单,只要心一不正,马上就完。
养浩然正气,可做到:“心正、身正、左右正、朝庭正、天下正”。
| 欢迎光临 辽宁养老服务网 (http://bbs.lnylfw.com/) | Powered by Discuz! X2 |